短路故障发生时,短路电流流过铜排会产生热和电动力,铜排耐受热效应而不损坏的性能称之为热稳定,耐受电动力而不变形的性能称之为动稳定。
铜动稳定通常用“额定峰值耐受电流Ipk”表达,电动力与额定峰值耐受电流Ipk的平方成正比。
热稳定通常用短时耐受电流Icw和短时耐受时间tcw表达,例如:
短路故障发生时,从设计规范的角度不希望铜排的温度超过300℃,见表1。
因为温度太高会导致铜排机械强度快速下降,动稳定也会随之下降,其次铜排的塑料绝缘支撑件在高温下也会劣化。
表1 硬导体长期和短时允许的温度值
如果母排前端无断路器保护,那么靠铜排本身硬抗短路电流1秒钟,其温度也不允许超过300℃,这样铜排才能宣称短时耐受电流值。
如果铜排前端有断路器保护,那么断路器跳闸后切断短路电流,可以避免母排上短路电流持续时间太长导致温度超过300℃。
低压断路器安装在配电回路里一个重要作用是要在导体达到极限温度前必须分断。
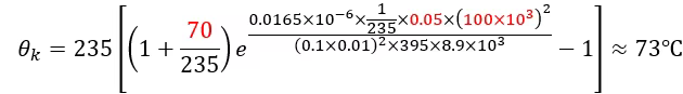
铜排在一定时间的短路电流下能达到的温度,可以通过理论公式大概算一下:
θ0代表铜排最开始的温度,如果短路发生在上电瞬间,θ0代表环温;如果运行时发生短路,那么θ0代表运行时的温度,铜排长期允许运行温度按70℃考虑。
α0是温度为0℃时的电阻温度系数,α0=1/235℃;
ρ0是温度为0℃时的电阻率,ρ0=0.0165x10^-6Ω•m;y为铜导体的密度,y=8.9×10³kg•m-³;tk为短路电流持续的时间,如果是断路器瞬动保护动作,则持续时间为瞬动保护最大分断时间;如果是短延时保护动作,则为短延时保护最大分断时间;假如预期短路电流为100kA,短路故障发生前铜排的温度为70℃,断路器瞬时保护时间为50ms,断路器动作以后,经过计算铜排的最终温度约为73℃:
如果是短路短延时保护动作,且最大分断时间为0.5s,则断路器动作以后,经过计算铜排的最终温度约为95℃:如果无断路器保护,铜排硬抗1秒钟,则铜排最后的温度约为137℃:
经过前面的分析,我们大概知道了铜排“短时耐受电流”的本质,就是要求其在短路电流热效应下上升的温度不超过自身允许值,否则将加剧其机械强度下降,也会导致绝缘支撑件受损。铜排前端有断路器保护和无断路器保护,断路器动作时间的长短,都直接影响铜排的最终温度,时间越短温度越低。
最后留一个话题,供读者思考,前面计算都是以框架断路器为例,我们知道框架断路器有短时耐受电流参数,如果换做限流型塑壳断路器,那么以什么样的电流和时间参数计算呢?来源:工控论坛