2025-06-20
数控刀片型号知识,原来还有这么多学问!
熵增定律
小编今天带大家看看数控刀片型号,这里面的学问可不少。

1 、表示为刀片形状的代码

2、表示为主切削刃后角的代码

3、表示为刀片尺寸公差的代码

4、表示为刀片断屑及夹固形式的代码

5、表示为切削刃长度表示方法

6、表示为刀片厚度的代码

7、表示为修光刃、R角的代码

其他数字的意义
8表示为表示特殊需要的代码;
9表示为进给方向的代码,如代码R表示右进刀,代码L表示左进刀,代码N表示中间进刀;
10表示为断屑槽型的代码;
11表示刀具公司材料代码;
切削速度Vc计算公式:

式中:
d—工件或刀尖的回转直径,单位mm;
n—工件或刀具的转速,单位r/min。
普通车床加工螺纹的速度
车削螺纹主轴转速n,切削螺纹时,车床的主轴转速受加工工件的螺距(或导程)大小、驱动电动机升降特性及螺纹插补运算速度等多种因素影响,因此对于不同的数控系统,选择车削螺纹主轴转速n存在一定的差异。下列为一般数控车床车螺纹时主轴转速计算公式:

式中:
p——工件螺纹的螺距或导程, 单位mm;
k——保险系数,一般为80。
加工螺纹的每次进给深度计算

螺纹加工走刀次数

1)粗加工

粗加工走刀量经验计算公式:f 粗=0.5R;
式中:
R——刀尖圆弧半径mm;
f——粗加工走刀量mm。
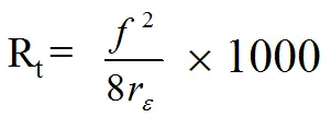
2)精加工

式中:
Rt——轮廓深度µm;
f——进给量mm/r;
rε——刀尖圆弧半径mm。
按进给量、断屑槽区分粗精车
f≥0.36 粗加工;
0.36>f≥0.17 半精加工;
f<0.17 精加工。
影响刀片粗、精加工不是刀片的材料而是断屑槽。刃口倒角小于40um为锋利。